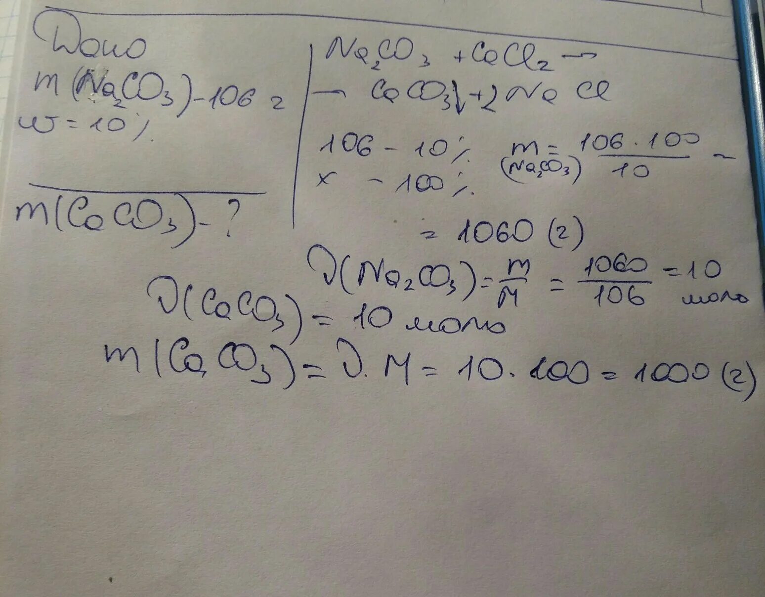
Сколько граммов осадка образуется при взаимодействии