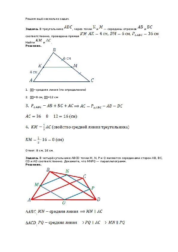
Сколько средних линий можно провести