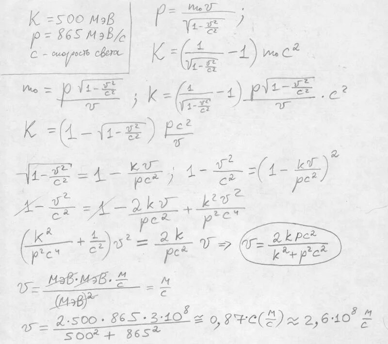
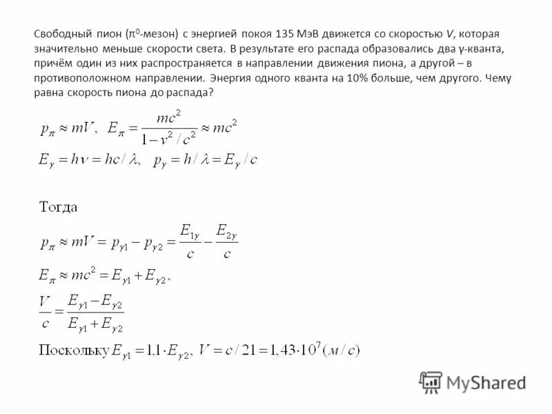
Скорость света в мэв