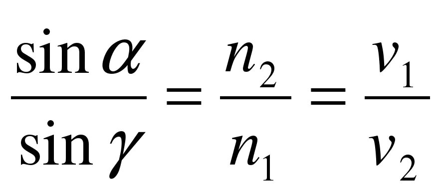
Смысл преломления света