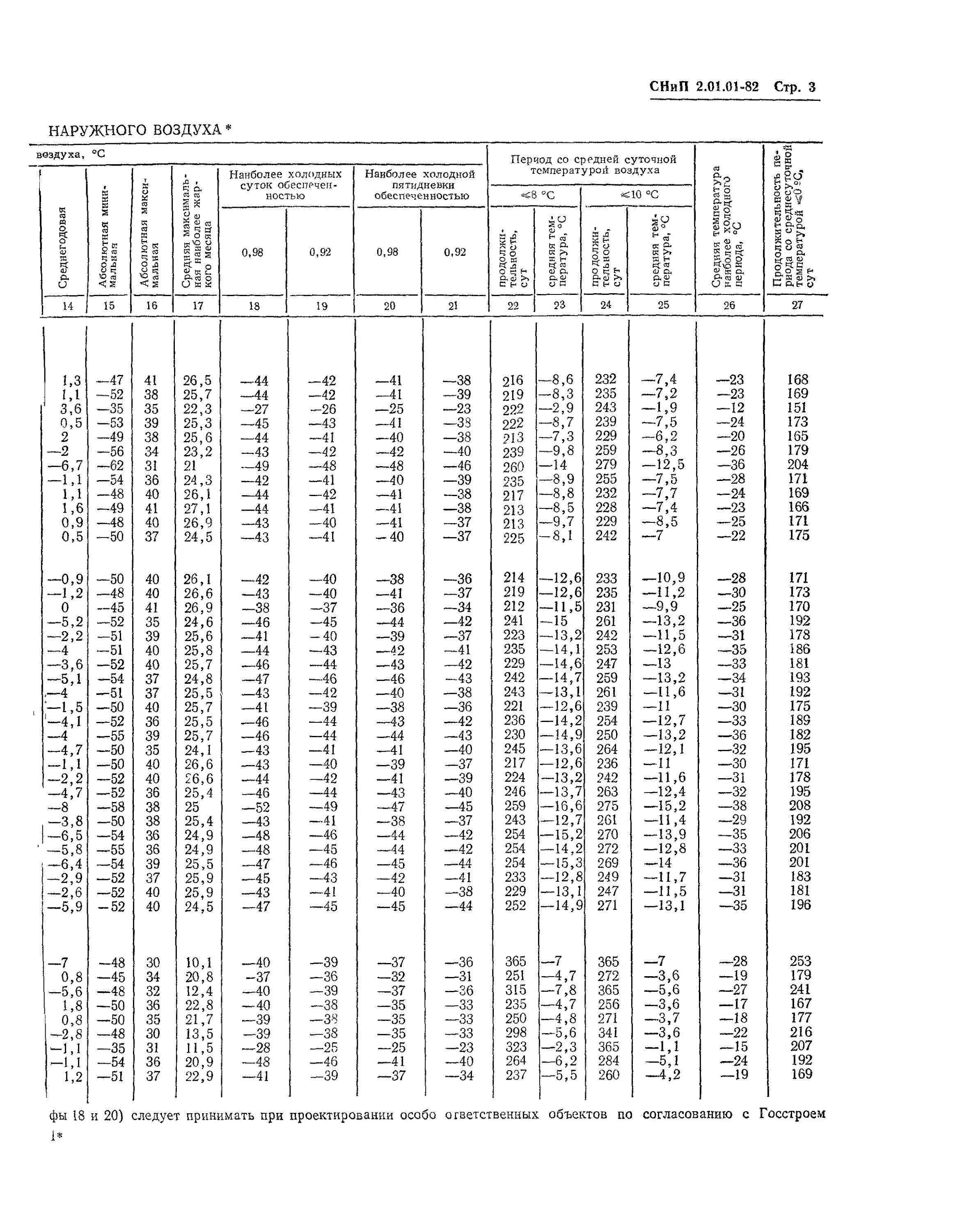
Снип 82 02