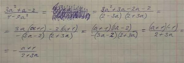
Сокращенная дробь 3 9