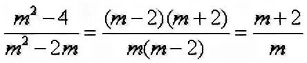
Сократите дробь m2 m