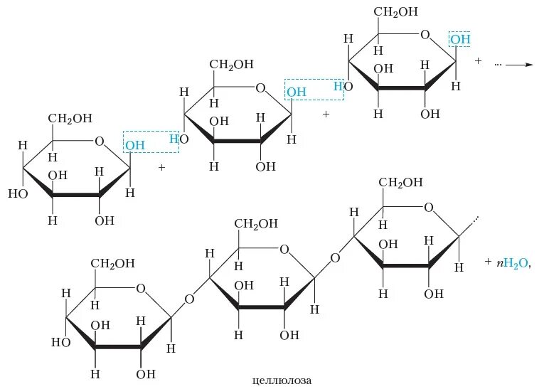
Состав и строение целлюлозы