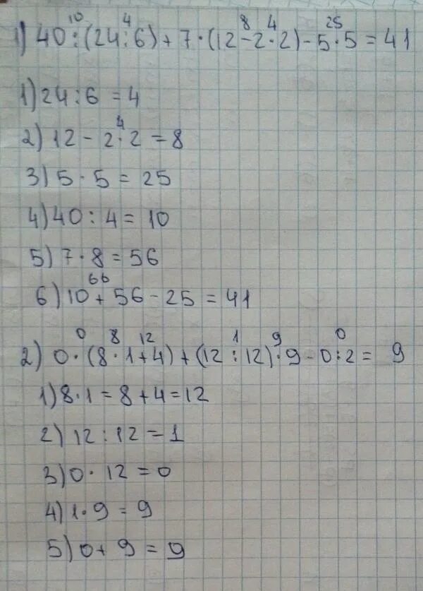
Составь программу действий и вычисли 0