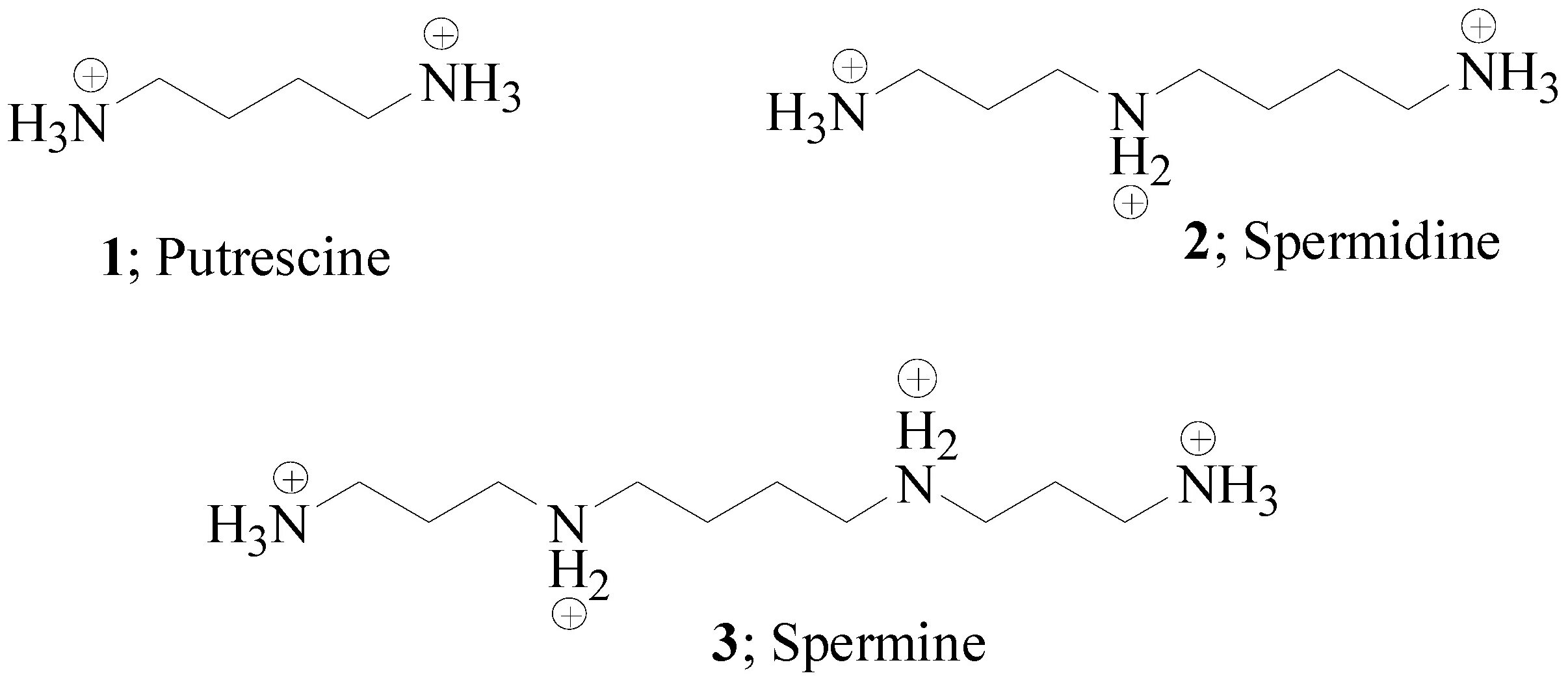
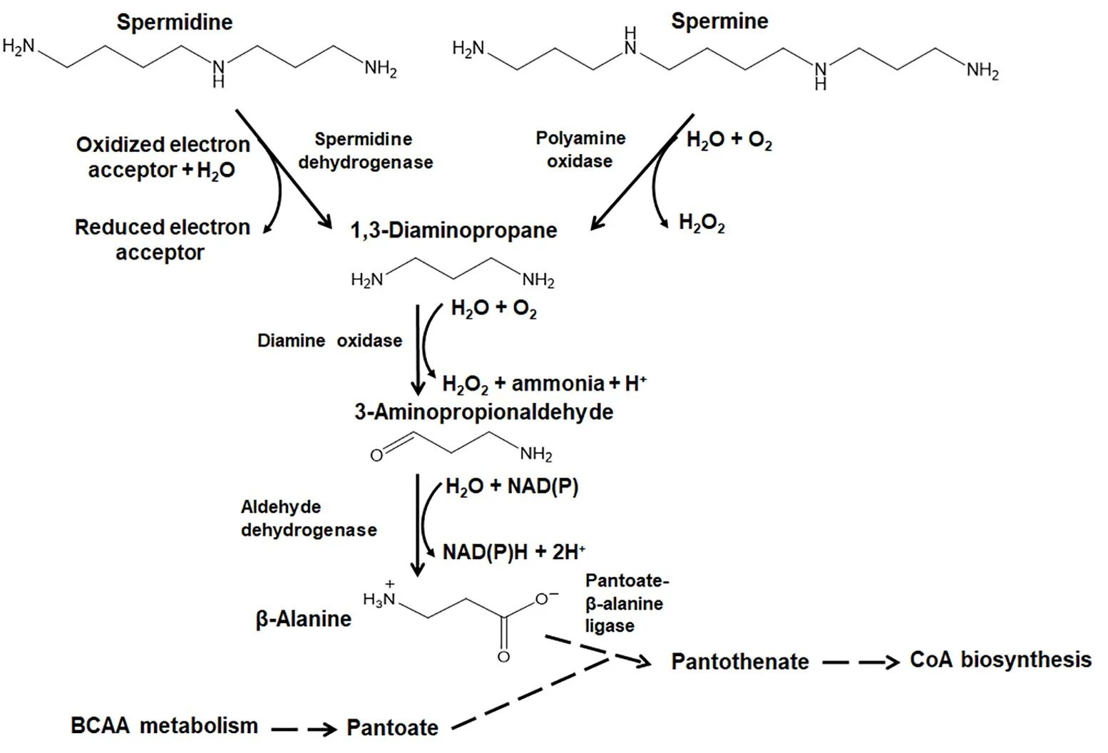
Спермин это