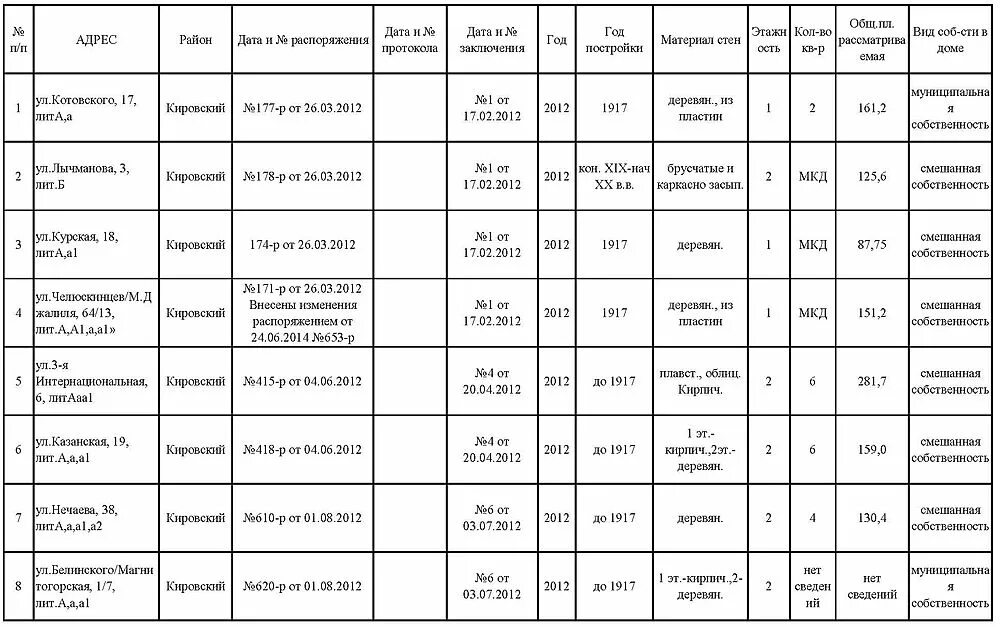
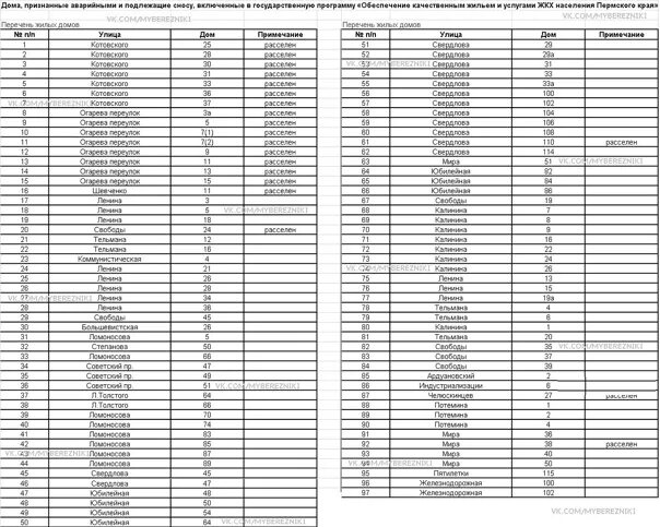
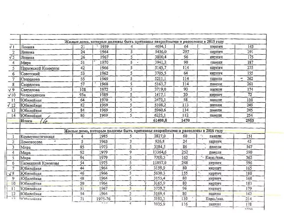
Списка снос лянтор