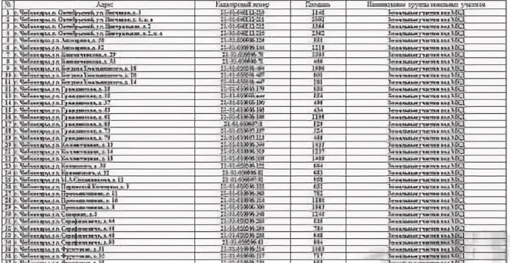
Список под снос до 2025