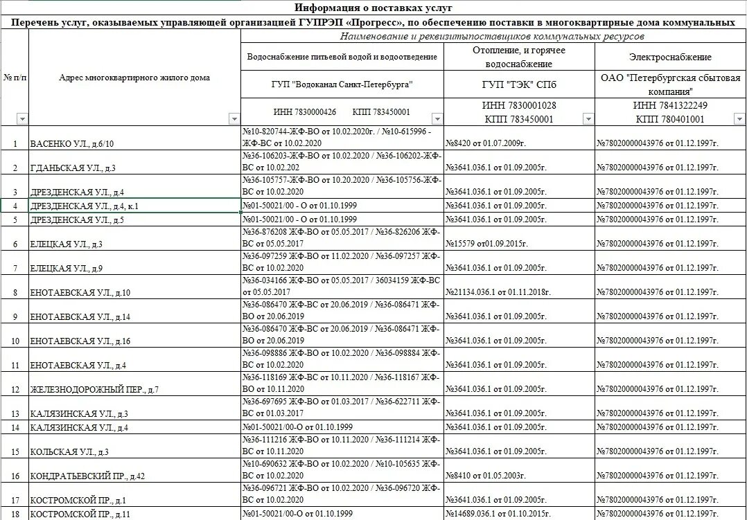
Список пос