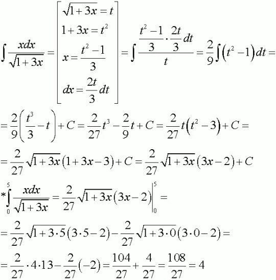
Sqrt 5 x 6 1 5