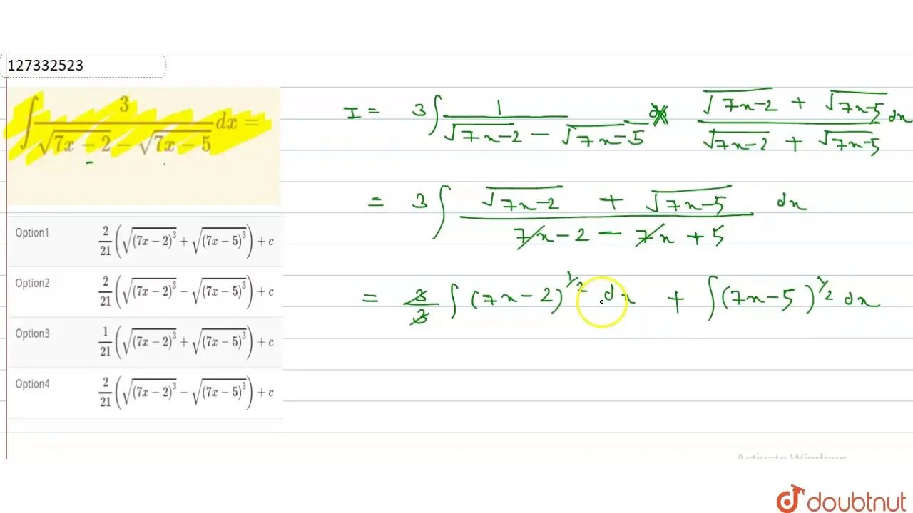
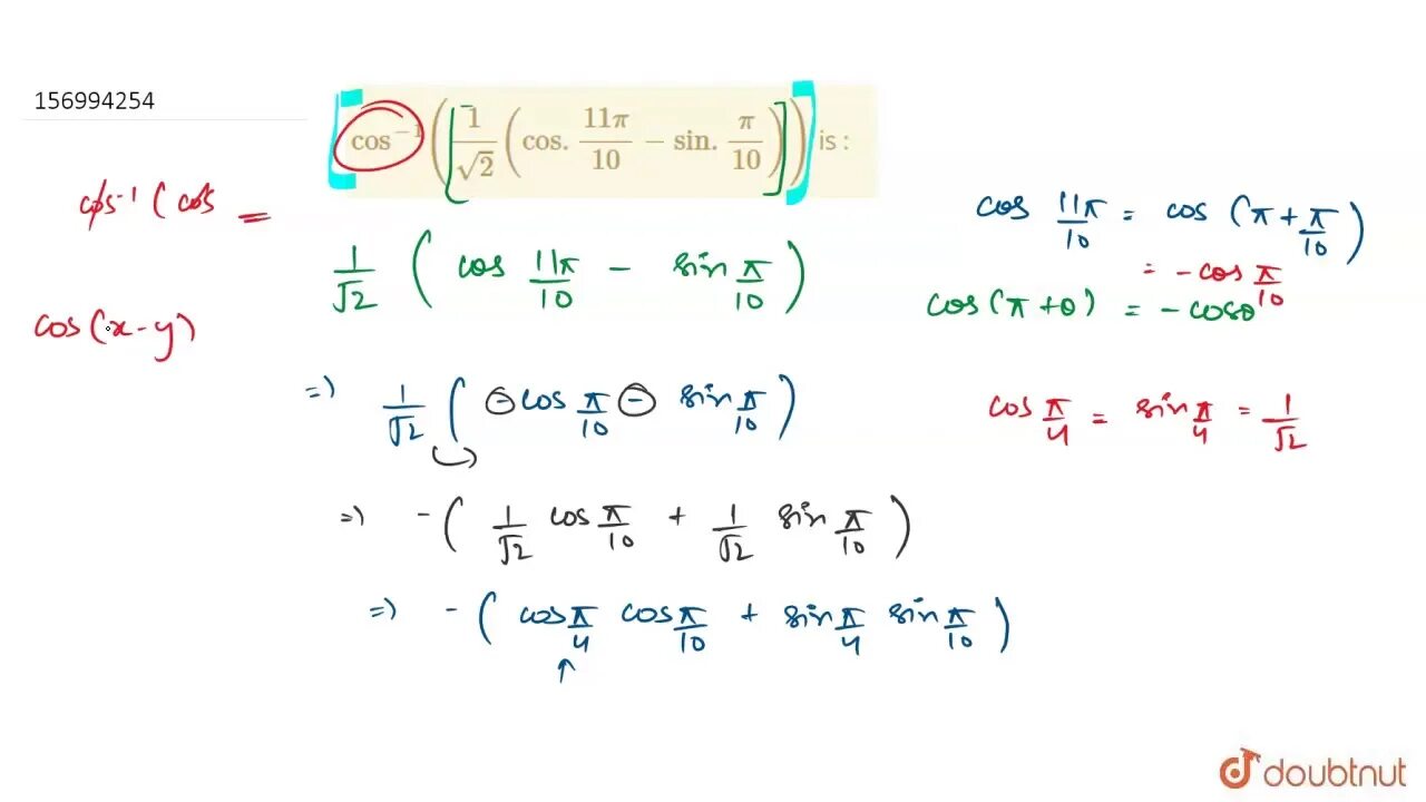
Sqrt 7 sqrt x 1 2