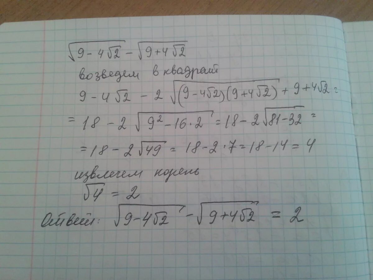
Sqrt 9 4 3 9 4