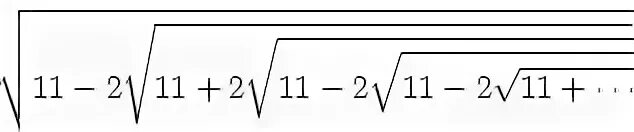
Sqrt 99 sqrt 44 cdot sqrt 11