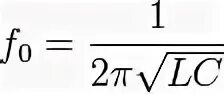
Sqrt c