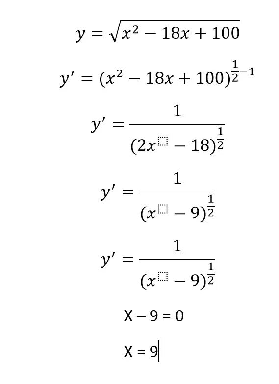
Sqrt x 10 x 2