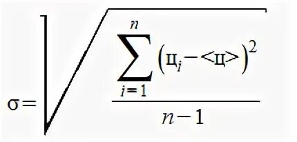
Средний ц