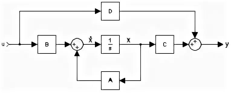
State space model