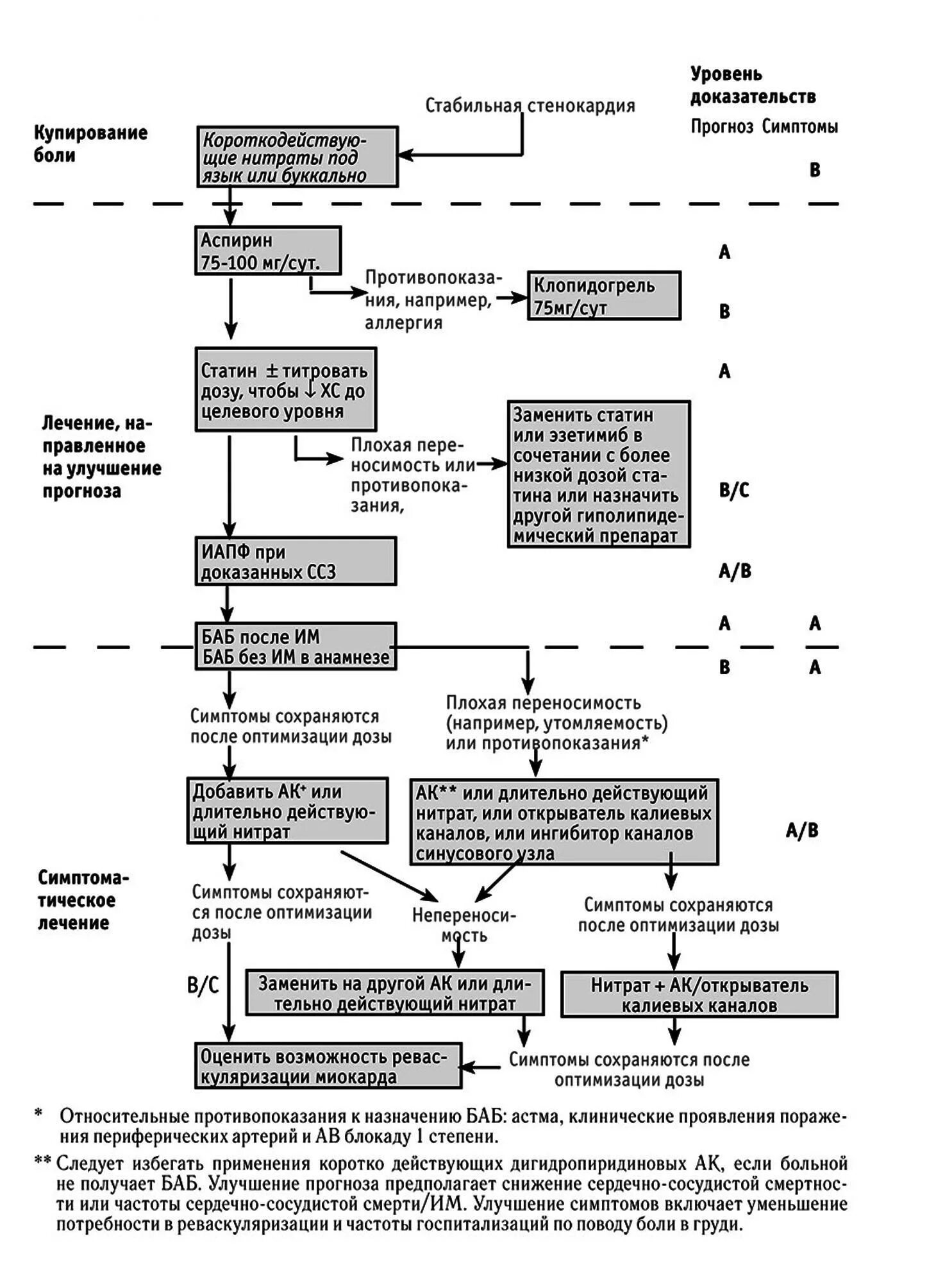
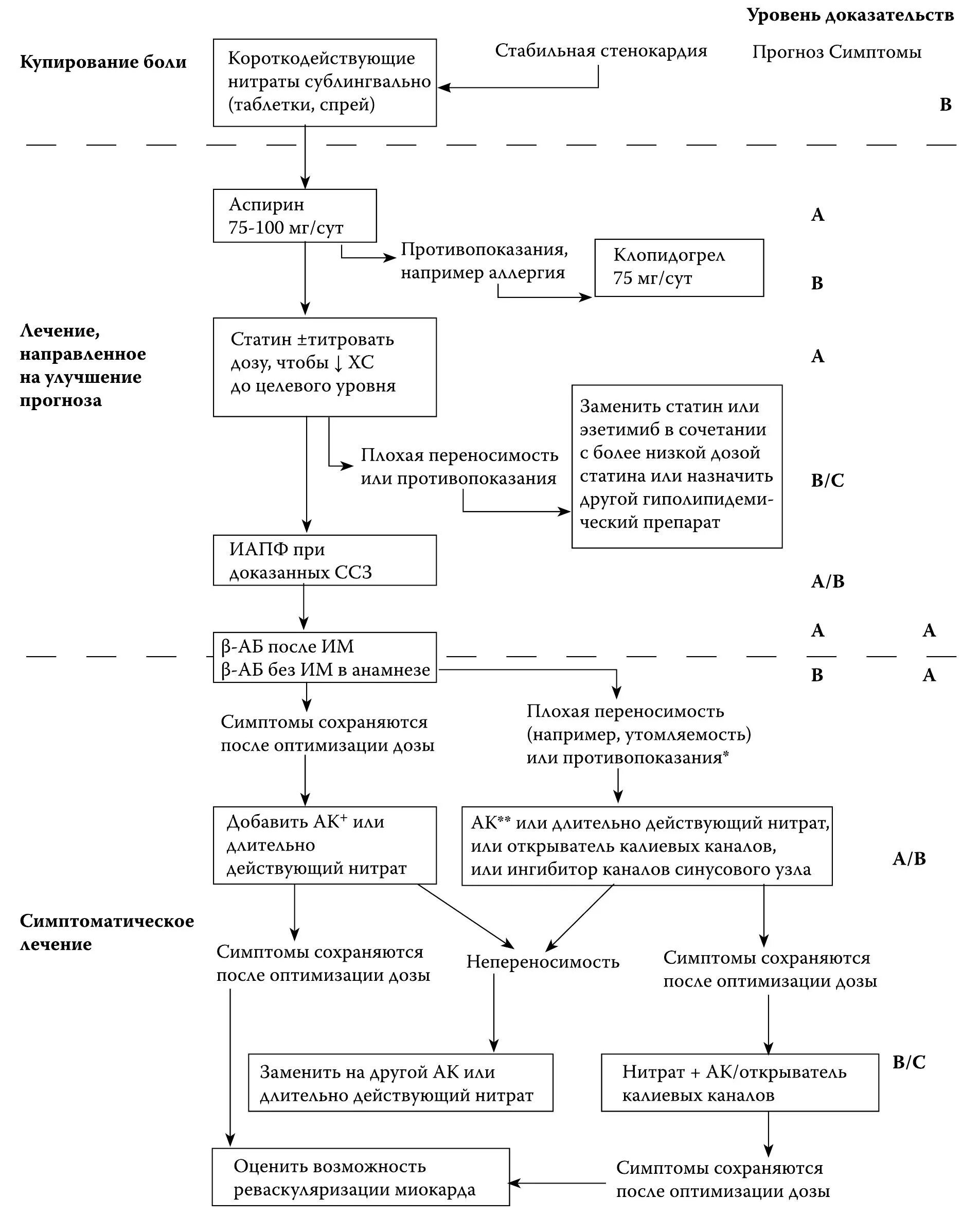
Стенокардия алгоритм