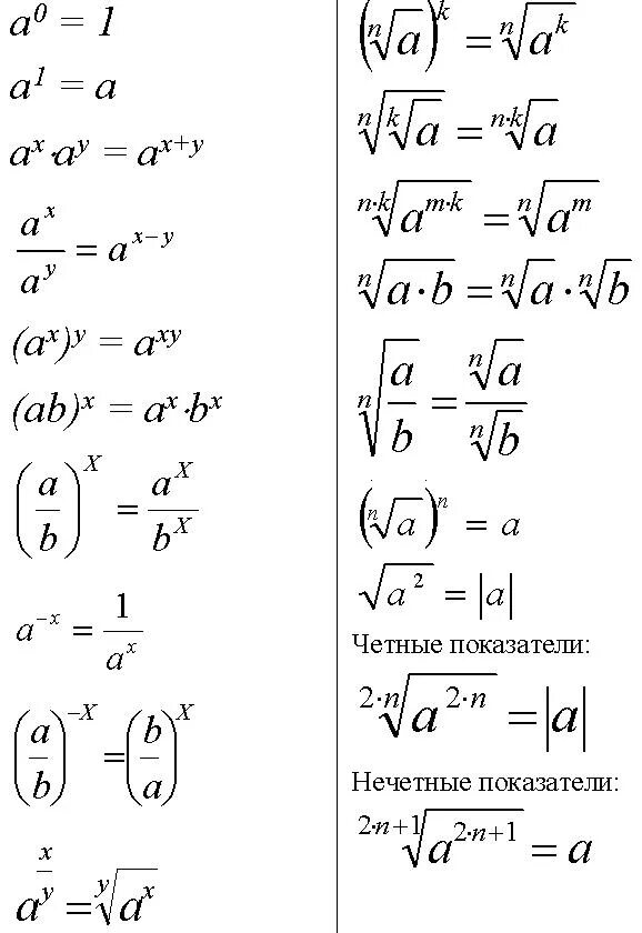
Степени и корни степенные функции