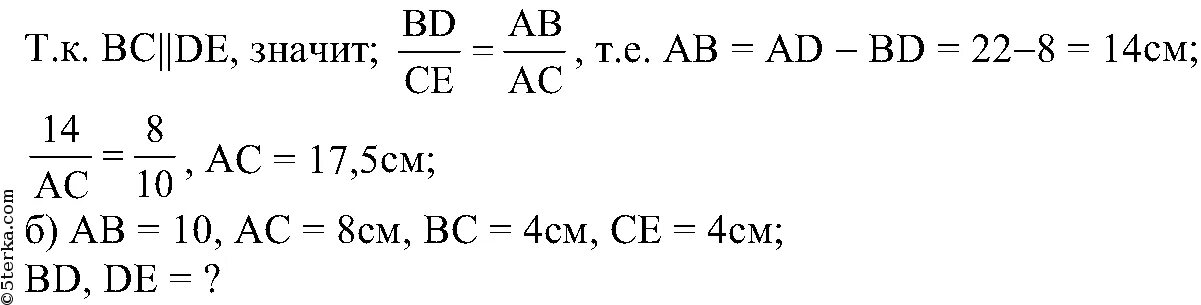
Стороны угла а пересечены параллельными прямыми