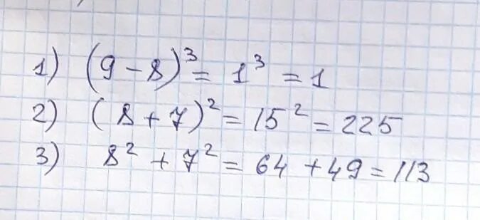
Сумма чисел 9 и 7 8