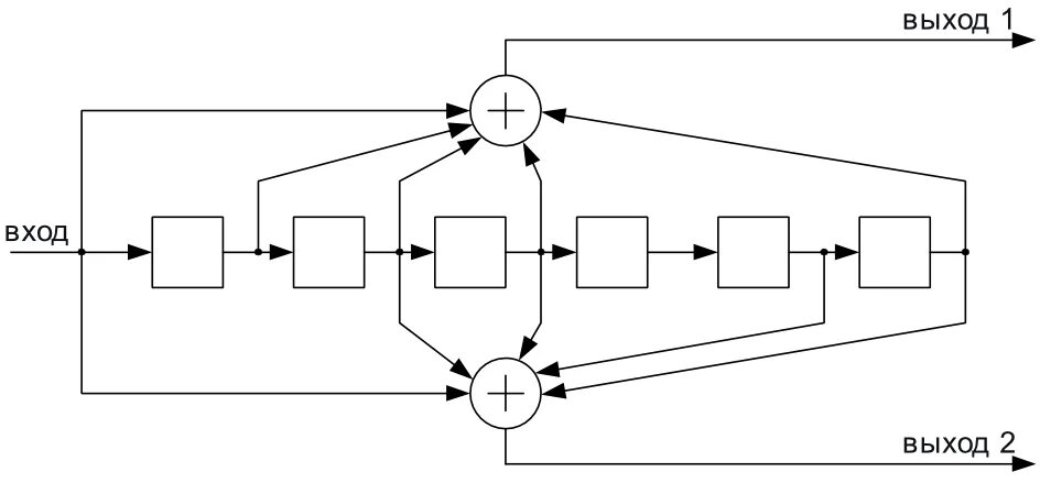
Сверточное кодирование