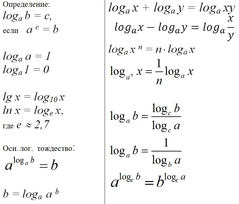
Свойства натуральных логарифмов формулы