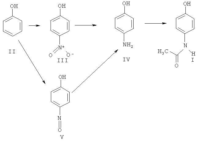
Synthesis p