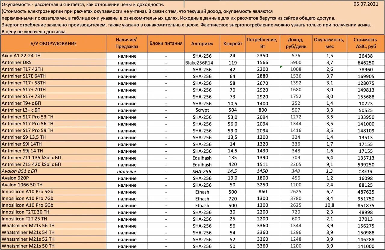
Ть цен