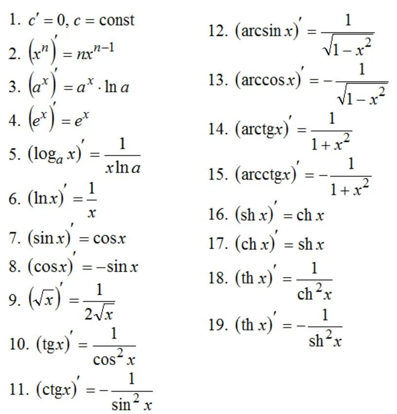
Таблица дифференцирования элементарных функций