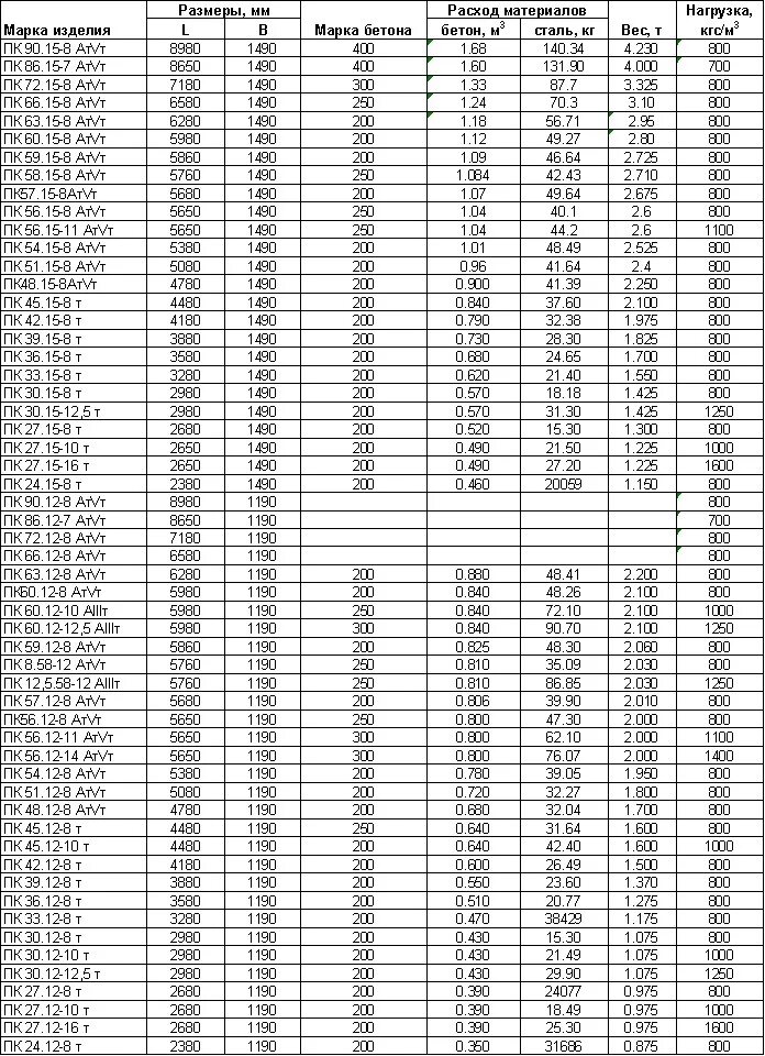
Таблица плит перекрытия размеры