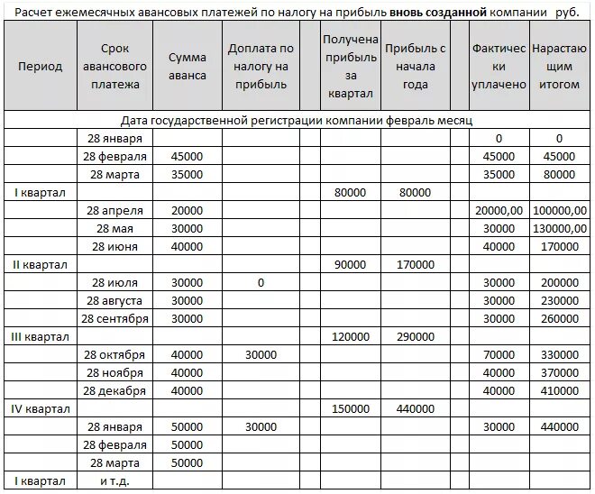
Текущего года по расчетам