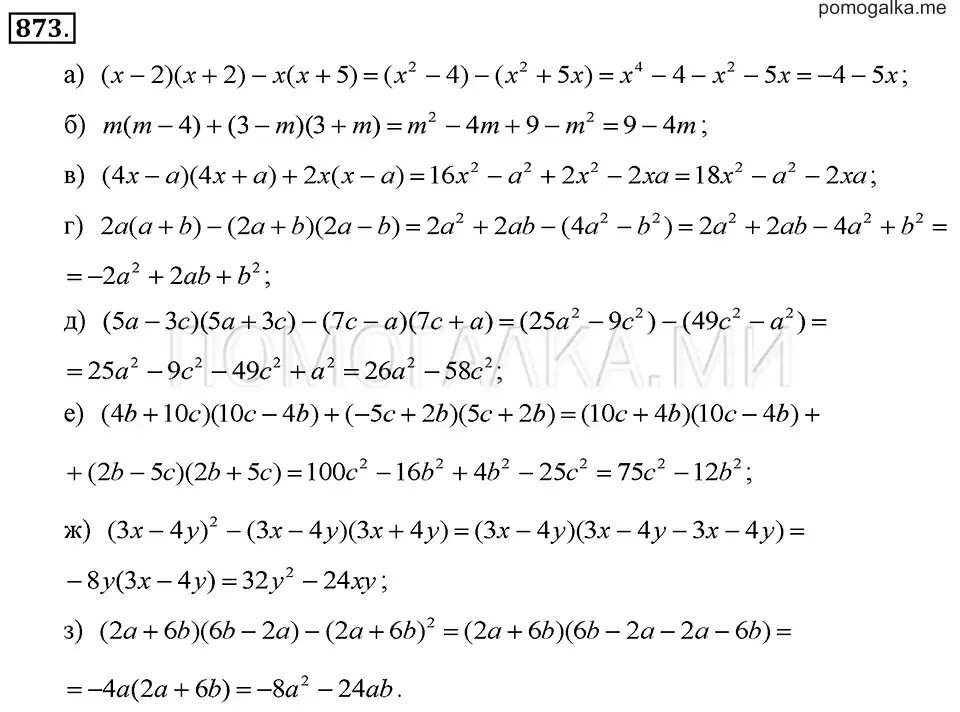
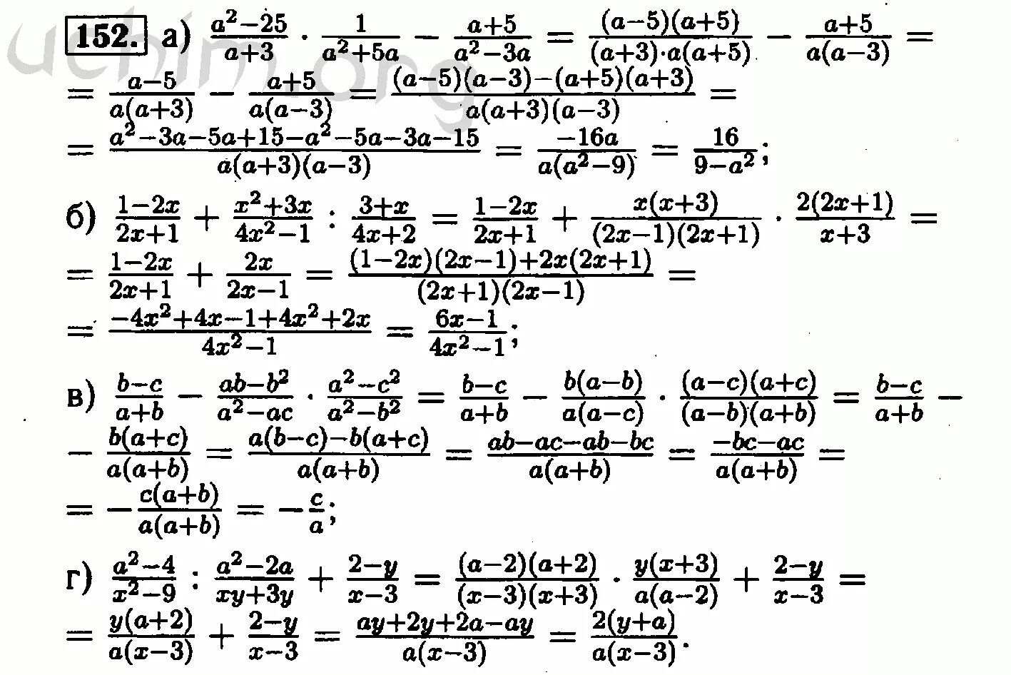
Теляковский 8 класс алгебра 2017