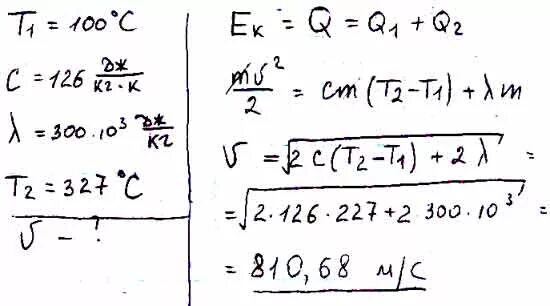
Температура при ударе пули