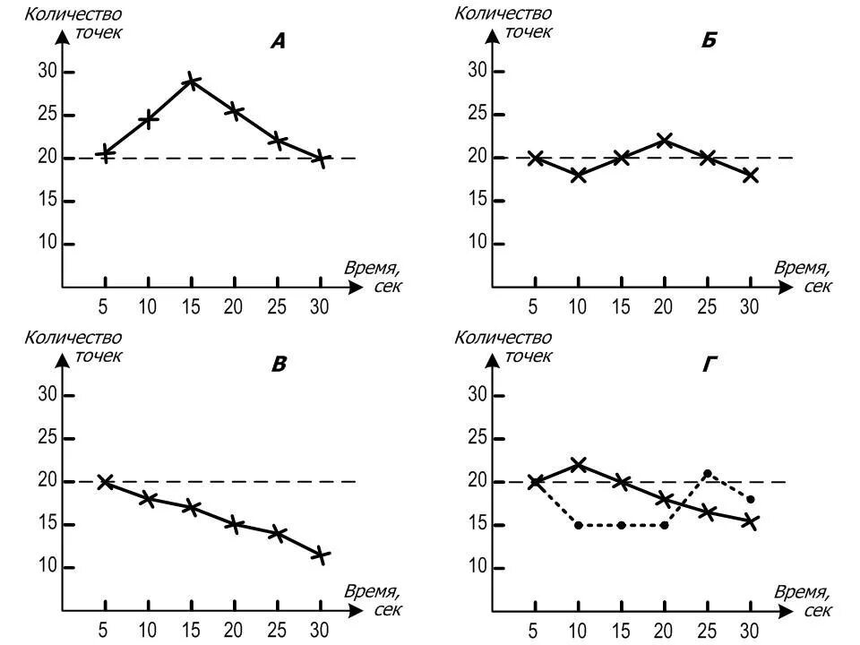
Теппинг тест интерпретация