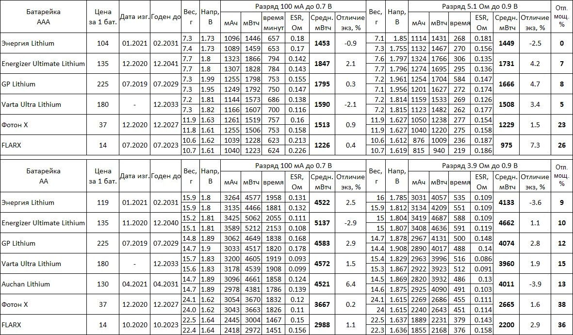
Тест элементов питания