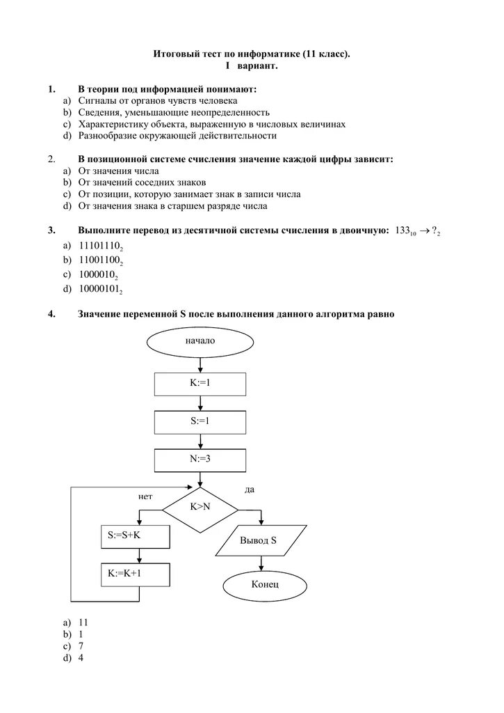
Тесты по информатике с картинками