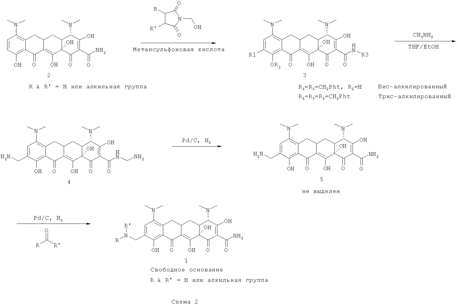
Тетрациклин реакции