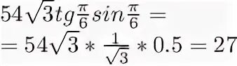
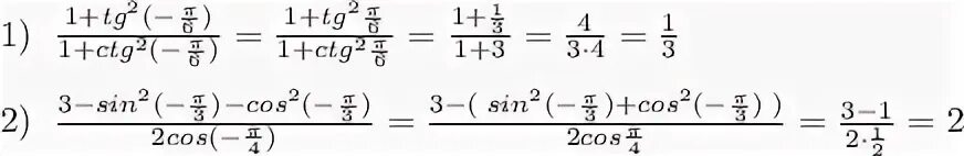
Tg pi 6 ctg pi 6