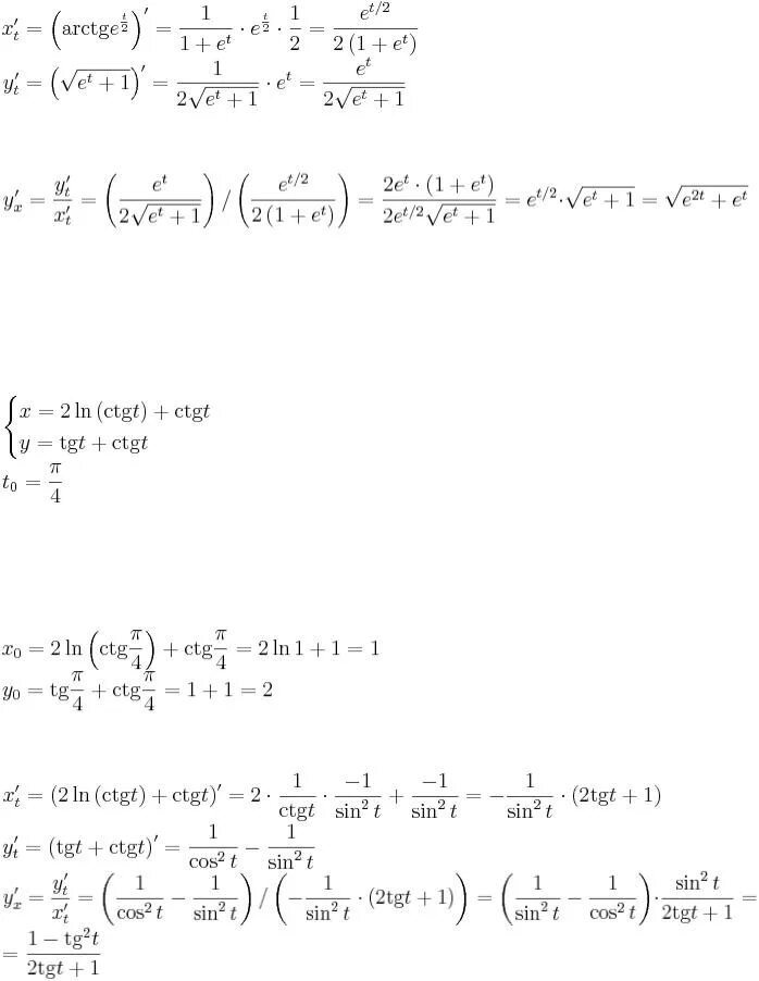
Tgt by