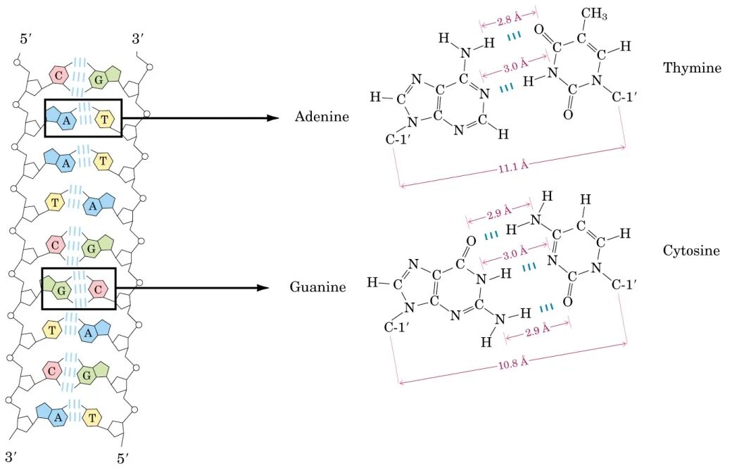
Тимин в днк