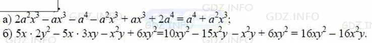
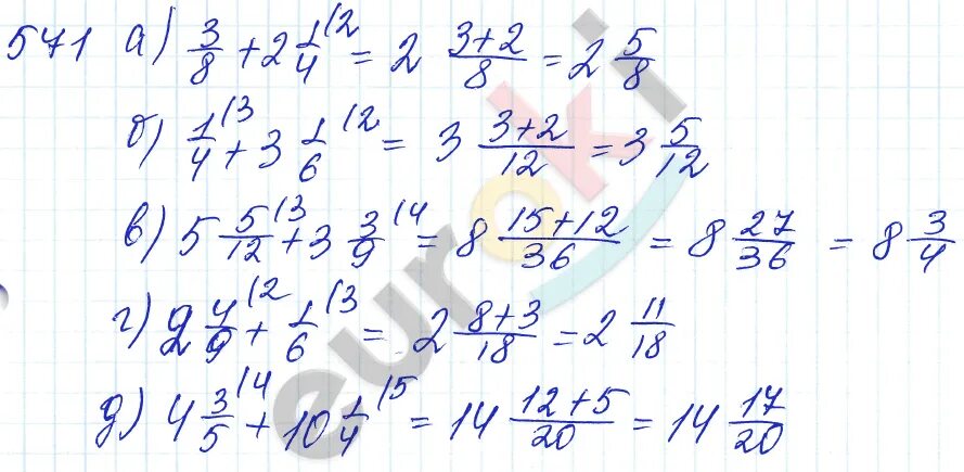
Тип 1 номер 571