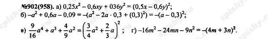
Тип 10.2 номер 902