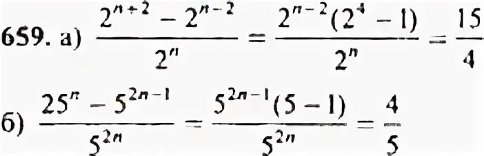
Тип 5 номер 659