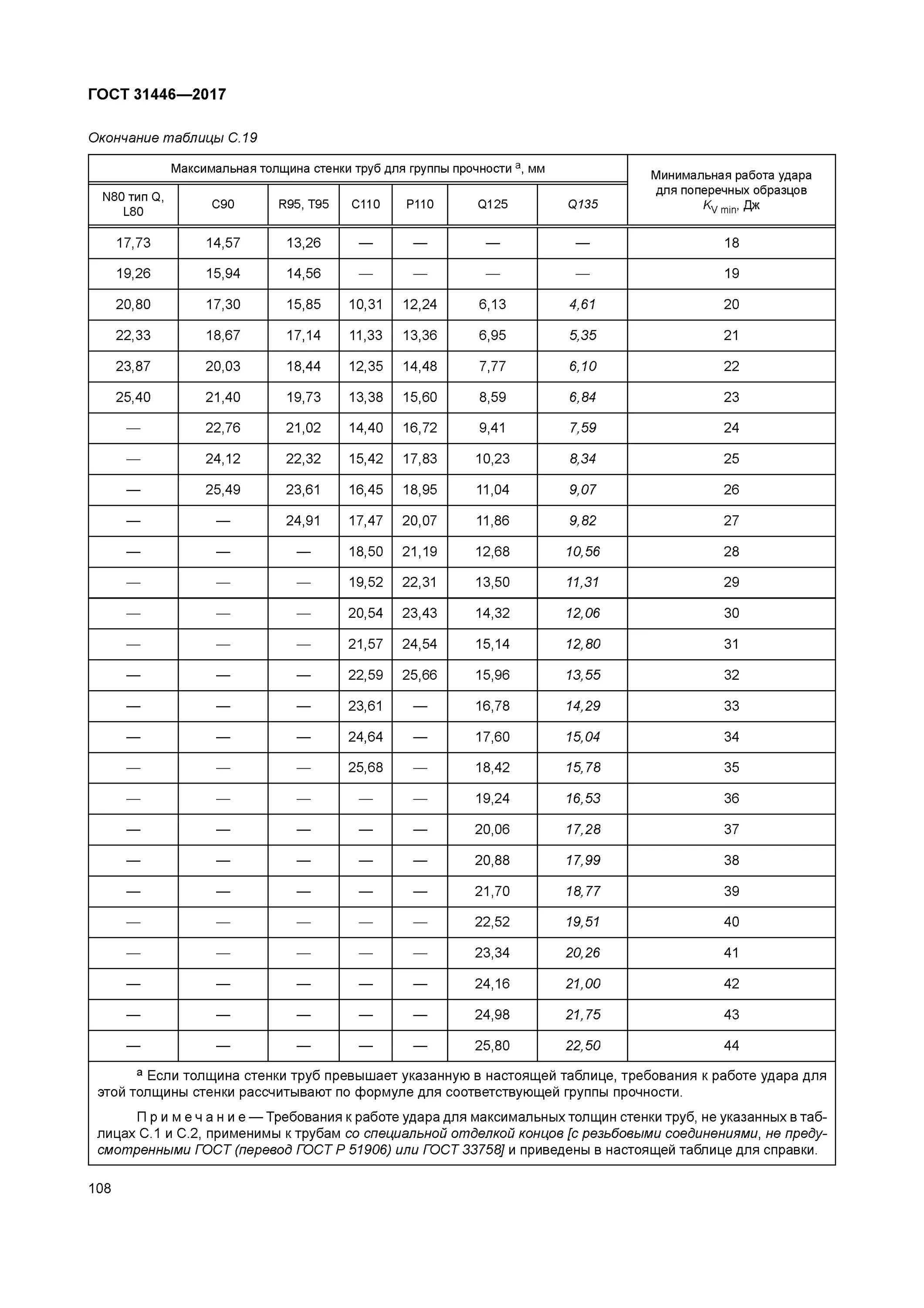
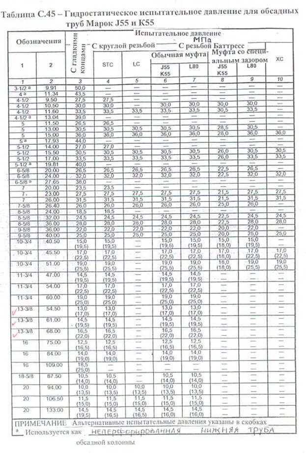
Толщина стенки обсадной трубы