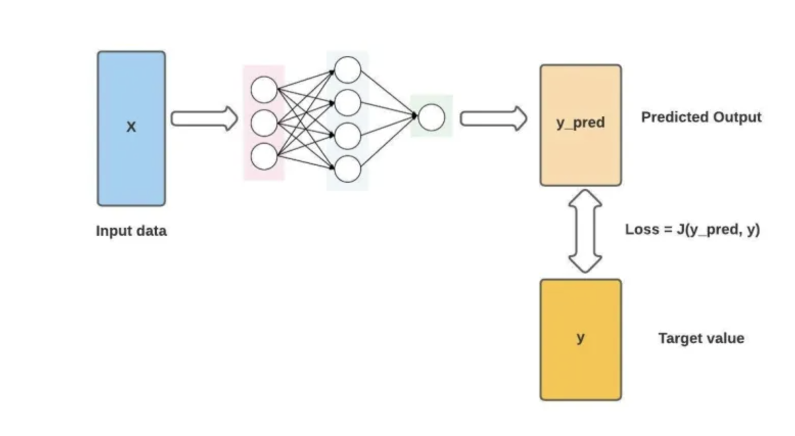
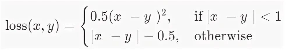
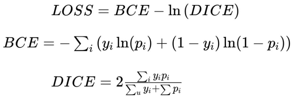
Torch loss