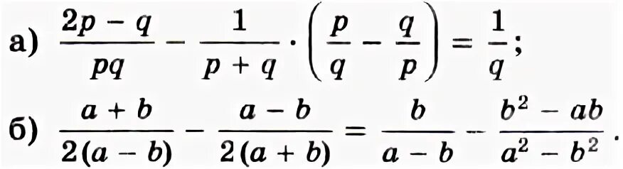
Тождественные выражения 8 класс