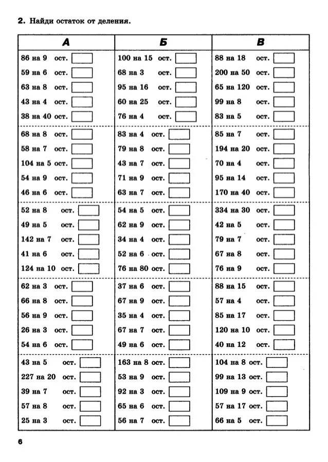
Тренажер 6 класс