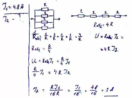
Цепь состоит из четырех