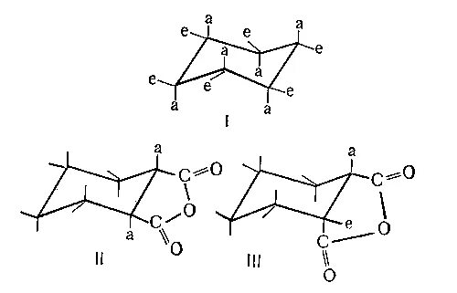
Цис конформация